Essa configuração é conhecida como configuração de emissor comum porque aqui o emissor é usado como o terminal negativo comum para o sinal de base de entrada e a carga de saída. Em outras palavras, o terminal emissor torna-se o terminal de referência para os estágios de entrada e saída (significando comum aos terminais base e coletor).
O amplificador emissor comum é a configuração de transistor mais comumente usada, pode ser vista na Fig. 3.13 abaixo para os transistores pnp e npn.

Basicamente, aqui o terminal base do transistor é usado como entrada, o coletor é configurado como saída e o emissor é conectado em comum a ambos (por exemplo, se o transistor for NPN o emissor pode ser ligado à referência de linha de terra), daí recebe o nome de emissor comum. Para um FET, o circuito análogo é denominado amplificador de fonte comum.
Características comuns do emissor
Assim como a configuração de base comum, aqui também duas faixas de características se tornam essenciais para explicar completamente a natureza da configuração de emissor comum: uma para o circuito de entrada ou base-emissor e a próxima para o circuito de saída ou coletor-emissor.
Esses dois conjuntos são mostrados na Fig. 3.14 abaixo:

As direções de fluxo de corrente para o emissor, coletor e base são indicadas de acordo com a regra convencional padrão.
Embora a configuração tenha mudado, o relacionamento para o fluxo atual que foi estabelecido em nossa configuração de base comum anterior ainda se aplica aqui sem nenhuma modificação.
Isso pode ser representado como: euE = euC + euB e euC =euE.
Para nossa configuração atual de emissor comum, as características de saída indicadas são uma representação gráfica da corrente de saída (IC) versus tensão de saída (VCE) para um conjunto selecionado de valores de corrente de entrada (IB).
As características de entrada podem ser vistas como um gráfico da corrente de entrada (IB) contra a tensão de entrada (VESTAR) para um determinado conjunto de valores de tensão de saída (VCE)

Observe que as características da Fig. 3.14 indicam o valor de IB em microampères, em vez de miliamperes para IC.
Também descobrimos que as curvas de IB não são perfeitamente horizontais como os alcançados para IE na configuração de base comum, o que implica que a tensão coletor-emissor tem a capacidade de afetar o valor da corrente de base.
A região ativa para a configuração de emissor comum pode ser entendida como aquela seção do quadrante superior direito que possui a maior quantidade de linearidade, ou seja, aquela área específica onde as curvas para IB tendem a ser praticamente retos e uniformemente espalhados.
Na Fig. 3.14a esta região pode ser observada no lado direito da linha vertical tracejada em VCEsat e sobre a curva de IB igual a zero. A região à esquerda de VCEsat é conhecida como região de saturação.
Dentro da região ativa de um amplificador emissor comum, a junção coletor-base será polarizada reversa, enquanto a junção base-emissor será polarizada diretamente.
Se você se lembrar, esses foram exatamente os mesmos fatores que persistiram na região ativa da configuração de base comum. A região ativa da configuração de emissor comum pode ser implementada para amplificação de tensão, corrente ou potência.
A região de corte para a configuração de emissor comum não parece ser bem caracterizada em comparação com a configuração de base comum. Observe que nas características do coletor da Fig. 3.14 o IC não é realmente correspondente a zero enquanto euB é zero.
Para a configuração de base comum, sempre que a corrente de entrada IE acontece de ser próximo de zero, a corrente de coletor se torna igual apenas à corrente de saturação reversa ICOpara que a curva IE= 0 e o eixo de tensão foram um, para todas as aplicações práticas.
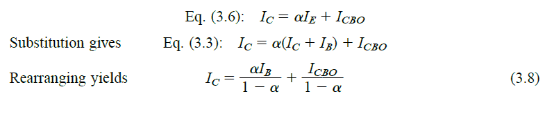
A causa para esta variação nas características do coletor pode ser avaliada com as modificações apropriadas das Eqs. (3.3) e (3.6). conforme dado abaixo:

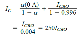
Avaliando o cenário discutido acima, onde IB = 0 A, e substituindo um valor típico como 0,996 por α, podemos obter uma corrente de coletor resultante conforme expresso abaixo:

Se considerarmos que euCBO como 1 μA, a corrente de coletor resultante com IB = 0 A seria 250(1 μA) = 0,25 mA, conforme reproduzido nas características da Fig. 3.14.
Em todas as nossas discussões futuras, a corrente de coletor estabelecida pela condição IB = 0 μA terá a notação determinada pela seguinte Eq. (3.9).

As condições baseadas na corrente recém-estabelecida acima podem ser visualizadas na Figura 3.15 a seguir usando suas direções de referência conforme descrito acima.

Para habilitar a amplificação com distorções mínimas no modo emissor comum, o corte é estabelecido pela corrente de coletor IC = euCEO.
Isso significa que a área logo abaixo de IB = 0 μA deve ser evitado para garantir uma saída limpa e sem distorções do amplificador.
Como funcionam os circuitos emissores comuns
Caso você queira que a configuração funcione como um switch lógico, por exemplo com um microprocessador, a configuração apresentará algumas pontos de operação de interesse: primeiro como ponto de corte e o outro como região de saturação.
O ponto de corte pode ser idealmente definido em IC = 0 mA para o V especificadoCE Voltagem.
Desde o euCEO eus normalmente muito pequeno para todos os BJTs de silício, o corte pode ser implementado para ações de comutação quando euB = 0 μA ou IC = euCEO
Se você lembrar na configuração de base comum, o conjunto de características de entrada foi estabelecido aproximadamente através de uma linha reta equivalente que leva ao resultado VESTAR = 0,7 V, para todos os níveis de IE que foi maior que 0 mA
Também podemos aplicar o mesmo método para uma configuração de emissor comum, que produzirá o equivalente aproximado conforme ilustrado na Fig. 3.16.

O resultado está de acordo com nossa dedução anterior segundo a qual a tensão do emissor de base para um BJT dentro da região ativa ou no estado ON será de 0,7V, e isso será fixo independentemente da corrente de base.
Exemplo Prático Resolvido 3.2

Como polarizar um amplificador de emissor comum

A polarização apropriada de um amplificador de emissor comum pode ser estabelecida da mesma forma que foi implementado para a rede de base comum.
Suponha que você tenha um transistor npn exatamente como indicado na Fig. 3.19a e queira aplicar uma polarização correta através dele, a fim de estabelecer o BJT na região ativa.
Para isso, você precisaria primeiro indicar o IE direção comprovada pelas setas no símbolo do transistor (ver Fig. 3.19b). Depois disso, você precisaria estabelecer as outras direções atuais estritamente de acordo com a relação da lei atual de Kirchhoff: IC + euB = euE.
Posteriormente, você deve introduzir as linhas de alimentação com polaridades corretas complementando as direções de IB e euC conforme indicado na Fig. 3.19c, e finalmente conclua o procedimento.
Da mesma forma, um BJT pnp também pode ser polarizado em seu modo de emissor comum, para isso basta inverter todas as polaridades da Fig. 3.19
Aplicação típica:
Amplificador de tensão de baixa frequência
Uma ilustração padrão do uso de um circuito amplificador de emissor comum é demonstrada abaixo.

O circuito acoplado a CA funciona como um amplificador de mudança de nível. Nesta situação, a queda de tensão base-emissor deve ser de cerca de 0,7 volts.
O capacitor de entrada C se livra de qualquer elemento DC da entrada, enquanto os resistores R1 e R2 são usados para polarizar o transistor para permitir que ele esteja em condição ativa para toda a faixa de entrada. A saída é uma replicação invertida do componente AC da entrada que foi impulsionada pela relação RC/RE e movida através de uma medida decidida por todos os 4 resistores.
Devido ao fato de RC ser normalmente bastante grande, a impedância de saída neste circuito pode ser realmente substancial. Para minimizar essa preocupação, o RC é mantido tão pequeno quanto possível e o amplificador é acompanhado por um buffer de tensão, como um seguidor de emissor.
Circuitos de Radiofrequência
Amplificadores de emissor comum às vezes também são usados em circuitos de radiofrequência, como para amplificar sinais fracos obtidos através de uma antena. Em casos como este é comumente substituído pelo resistor de carga que inclui um circuito sintonizado.
Isso pode ser feito para restringir a largura de banda a alguma banda fina estruturada em toda a frequência de operação desejada.
Além disso, permite que o circuito funcione em frequências maiores porque o circuito sintonizado permite que ele ressoe quaisquer capacitâncias entre eletrodos e de fuga, que geralmente proíbem a resposta de frequência. Emissores comuns também podem ser amplamente utilizados como amplificadores de baixo ruído.
Hashtags: #Amplificador #Emissor #Comum #Características #Polarização #Exemplos #Resolvidos
FONTE
Nota: Este conteúdo foi traduzido do Inglês para português (auto)
Pode conter erros de tradução
Olá, se tiver algum erro de tradução (AUTO), falta de link para download etc…
Veja na FONTE até ser revisado o conteúdo.
Status (Ok Até agora)
Se tiver algum erro coloque nos comentários

