A polarização dos terminais de um transistor bipolar usando uma rede divisora resistiva calculada para garantir um ótimo desempenho e resposta de comutação é chamada de polarização do divisor de tensão.
Nos projetos de polarização anteriores, aprendemos que a corrente de polarização ICQ e tensão VCEQ eram uma função do ganho de corrente (β) do BJT.
Mas, como sabemos que β pode ser vulnerável a mudanças de temperatura, principalmente para transistores de silício, e também o verdadeiro valor de beta muitas vezes não é identificado adequadamente, pode ser aconselhável desenvolver uma polarização do divisor de tensão no circuito BJT que pode ser menor propenso a temperaturas, ou simplesmente independente do próprio BJT beta.


O arranjo de polarização do divisor de tensão da Fig. 4.25 pode ser considerado um desses projetos.
Quando examinado com base exata a suscetibilidade a variações no beta parece realmente modesta. Se as variáveis do circuito forem adequadamente trabalhadas, os níveis de ICQ e VCEQ poderia ser virtualmente completamente independente do beta.
Lembre-se de explicações anteriores que um ponto Q é caracterizado com um nível fixo de ICQ e VCEQ, conforme demonstrado na Fig. 4.26.
O grau de euQB pode mudar dependendo das variações do beta, mas o ponto de operação em torno das características identificadas por ICQ e VCEQ pode facilmente permanecer inalterado se as diretrizes de circuito apropriadas forem aplicadas.
Como mencionado acima, você encontrará algumas abordagens que podem ser empregadas para investigar a configuração do divisor de tensão.
A razão por trás da escolha de nomes específicos para este circuito ficará evidente durante nossa análise, e será discutida nos próximos posts.
O primeiro é o técnica exata que pode ser realizado em qualquer configuração de divisor de tensão.
O segundo é chamado de método aproximado, e sua implementação torna-se viável quando determinados fatores são atendidos. O abordagem aproximada permite uma análise muito mais direta com o mínimo de esforço e tempo.
Além disso, isso pode ser muito útil para o “modo de design”, sobre o qual falaremos nas seções posteriores.
No conjunto, desde o “abordagem aproximada” pode ser trabalhado com a maioria das condições e, portanto, deve ser avaliado com o mesmo nível de atenção que o “método exato”.
Análise exata
Vamos aprender como o método de análise exata pode ser implementado com a seguinte explicação
Referindo-se à figura a seguir, o lado de entrada da rede pode ser reproduzido conforme ilustrado na Fig. 4.27 para a análise dc.
O Equivalente de Thévenin rede para o projeto do lado esquerdo da base BJT B, então, pode ser determinada da maneira ilustrada abaixo:




RTh: Os pontos de alimentação de entrada são substituídos por um curto-circuito equivalente, conforme mostrado na Fig. 4.28 abaixo.








ETh: A fonte de tensão de alimentação VCC é aplicada de volta ao circuito, e a tensão de Thévenin de circuito aberto como aparece na Fig. 4.29 abaixo é avaliada como dado abaixo:
Implementando a regra do divisor de tensão chegamos à seguinte equação:








Em seguida, recriando o design de Thévenin conforme ilustrado na Fig.4.30, avaliamos IQB aplicando primeiro a lei das tensões de Kirchhoff no sentido horário para o loop:
ETh – IBRTh – VBE – IERE = 0
Como sabemos IE = (β + 1)IB Substituindo no loop acima e resolvendo para IB dá:




Equação. 4h30




À primeira vista, você pode sentir a Eq. (4.30) parece bastante diferente das outras equações que foram desenvolvidas até agora, porém um olhar mais atento mostrará que o numerador é apenas uma diferença de dois níveis de volt, enquanto o denominador é o resultado da resistência de base + resistor do emissor, que é refletido de (β + 1) e é, sem dúvida, muito semelhante à Eq. (4.17) (Circuito Emissor Base)
Uma vez que IB é calculado através da equação acima, o restante das magnitudes no projeto podem ser identificadas pelo mesmo método que fizemos para a rede de polarização do emissor, conforme mostrado abaixo:




Equação (4.31)




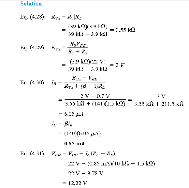
Resolvendo um Exemplo Prático (4.7)
Calcule a tensão de polarização DC VCE e o atual euC na rede divisora de tensão abaixo mostrada Fig. 4.31
Figura 4.31 Circuito estabilizado beta para o Exemplo 4.7.




Análise aproximada
Na seção acima aprendemos o “método exato”, aqui vamos discutir o “método aproximado” de analisar o divisor de tensão de um circuito BJT.
Podemos desenhar o estágio de entrada de uma rede divisora de tensão baseada em BJT como mostrado na figura 4.32 abaixo.
A resistência Ri pode ser considerada como a resistência equivalente entre a base e a linha de terra do circuito, e RE como o resistor entre o emissor e a terra.
Das nossas discussões anteriores [Eq. (4.18)] sabemos que a resistência reproduzida ou refletida entre base/emissor do BJT é exposta pela equação Ri = (β + 1)RE.
Se considerarmos uma situação em que Ri é consideravelmente maior que a resistência R2, resultará em IB relativamente menor que I2 (lembre-se que a corrente sempre tenta encontrar e se mover na direção da resistência mínima), e assim I2 se tornará aproximadamente igual a I1.
Considerando que o valor aproximado de IB é essencialmente zero em relação a I1 ou I2, então I1 = I2, e R1 e R2 poderiam ser considerados como elementos de série.




Figura 4.32 Circuito de polarização parcial para calcular a tensão de base aproximada VB.
A tensão em R2, que originalmente seria a tensão de base, pode ser avaliada como mostrado abaixo, aplicando a rede da regra do divisor de tensão:




Agora desde Ri = (β + 1)RE ≅ βRÉ, a condição que confirma se a execução do método aproximado é viável ou não é decidida pela equação:




Simplificando, se o valor RE vezes o valor de β, não for inferior a 10 vezes o valor de R2, então pode ser permitido implementar a análise aproximada com ótima precisão
Depois que VB é avaliado, a magnitude de VE pode ser determinada pela equação:




enquanto a corrente do emissor pode ser calculada aplicando a fórmula:




A tensão do coletor ao emissor pode ser identificada usando a seguinte fórmula:
VCE = VCC – CICV – IERE
No entanto, desde IE ≅ IC, chegamos à seguinte equação:




Deve-se notar que na série de cálculos que fizemos a partir da Eq. (4.33) através da Eq. (4.37), o elemento β não tem presença em nenhum lugar e IB não foi calculado.
Isso implica que o ponto Q (como estabelecido por ICQ e VCEQ) como resultado não é dependente do valor de β
Exemplo Prático (4.8):
Vamos aplicar a análise em nosso anterior Figura 4.31usando abordagem aproximada, e comparar soluções para ICQ e VCEQ.




Aqui observamos que o nível de VB é idêntico ao de ETh, conforme avaliado em nosso exemplo anterior 4.7. O que isso significa basicamente é que a diferença entre a análise aproximada e a análise exata é influenciada pelo RTh, que é responsável por separar ETh e VB na análise exata.
Avançar,




Próximo Exemplo 4.9
Vamos realizar a análise exata do Exemplo 4.7 se β for reduzido para 70 e descobrir a diferença entre as soluções para ICQ e VCEQ.




Solução
Este exemplo não pode ser tomado como uma comparação entre estratégias exatas versus aproximadas, mas apenas para testar o grau em que o ponto Q pode se mover caso a magnitude de β seja reduzida em 50%. RTh e ETh são dadas da mesma forma:
A organização dos resultados em uma forma tabular nos dá o seguinte:




A partir da tabela acima, podemos descobrir claramente que o circuito é relativamente indiferente à mudança nos níveis β. Apesar da magnitude de β ter sido significativamente reduzida em 50%, do valor de 140 para 70, embora os valores de ICQ e VCEQ sejam basicamente os mesmos.
Próximo Exemplo 4.10
Avalie os níveis de ICQ e VCEQ para a rede divisora de tensão, conforme mostrado na Fig. 4.33, aplicando o exato e aproximado abordagens e comparar as soluções resultantes.




No cenário atual, as condições dadas na Eq. (4.33) pode não ser satisfeita, porém as respostas podem nos ajudar a identificar a diferença na solução com as condições da Eq. (4.33) não sendo levado em consideração.
Figura 4.33 Divisor de tensão rede para o Exemplo 4.10.




Resolvendo usando a Análise Exata:




Resolvendo usando Análise Aproximada:
A partir das avaliações acima, podemos ver a diferença entre os resultados obtidos pelos métodos exatos e aproximados.
Os resultados revelam que euCQ é cerca de 30% maior para o método aproximado, enquanto VCEQ é 10% menor. Embora os resultados não sejam exatamente idênticos, considerando o fato de que βRE é apenas 3 vezes maior que R2, os resultados também não são muito distantes.
Dito isso, para nossa análise futura, contaremos predominantemente com a Eq. (4.33) para garantir a máxima similaridade entre as duas análises.
Hashtags: #TensãoDivisor #Bias #Circuitos #BJT #Mais #Estabilidade #sem #Fator #Beta
FONTE
Nota: Este conteúdo foi traduzido do Inglês para português (auto)
Pode conter erros de tradução
Olá, se tiver algum erro de tradução (AUTO), falta de link para download etc…
Veja na FONTE até ser revisado o conteúdo.
Status (Ok Até agora)
Se tiver algum erro coloque nos comentários


