Projetos de circuito eletrônicoDispositivos eletrônicos e teoria de circuitosLei de Ohm/Lei de Kirchhoff usando equações diferenciais lineares...

Lei de Ohm/Lei de Kirchhoff usando equações diferenciais lineares de primeira ordem

Neste artigo, tentamos entender a Lei de Ohm e a Lei de Kirchhoff por meio de fórmulas e explicações padrão de engenharia e aplicando equações diferenciais lineares de primeira ordem para resolver conjuntos de problemas de exemplo.

O que é um circuito elétrico

Um circuito elétrico mais simples é geralmente na forma de um circuito em série com uma fonte de energia ou entrada de força eletromotriz, como de uma bateria, ou um gerador DC, e uma carga resistiva que consome essa energia, por exemplo, uma lâmpada elétrica, como mostrado na figura o diagrama abaixo:

O que é um circuito elétrico
O que é um circuito elétrico

O que é um circuito elétrico
O que é um circuito elétrico

Referindo-se ao diagrama, quando a chave está fechada, a corrente eu passa através do resistor, fazendo com que uma tensão seja gerada através do resistor. Ou seja, quando medidas, as diferenças de potencial nos dois pontos finais do resistor mostrarão valores diferentes. Isso pode ser confirmado usando um voltímetro.

A partir da situação explicada acima, a lei de Ohm padrão pode ser deduzida como:

A queda de tensão ER através de um resistor é proporcional à corrente instantânea I, e pode ser expressa como:

ER = RI (Equação nº 1)

Na expressão acima, R é definida como a constante de proporcionalidade e é chamada de resistência do resistor.

Aqui medimos a tensão pronto-socorro em Volts, a resistência R em Ohms, e a corrente eu em amperes.

Isso explica a lei de Ohm em sua forma mais básica dentro de um circuito elétrico simples.
Em circuitos mais complexos, mais dois elementos essenciais são incluídos na forma de capacitores e indutores.

O que é um indutor

Um indutor pode ser definido como um elemento que se opõe a uma mudança na corrente, criando um efeito de inércia no fluxo de eletricidade, assim como uma massa faz em sistemas mecânicos. Experimentos produziram o seguinte para indutores:

A queda de tensão EL através de um indutor é proporcional à taxa de variação de tempo instantânea da corrente I. Isso pode ser expresso como:

EL = L dl / dt (Equação nº 2)

onde L se torna a constante de proporcionalidade e é denominado como a indutância do indutor, e é medido em Henrique. O tempo t é dado em segundos.

O que é um capacitor

Um capacitor é simplesmente um dispositivo que armazena energia elétrica. Experimentos nos permitem obter a seguinte explicação:

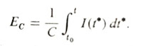
A queda de tensão em um capacitor é proporcional à carga elétrica instantânea Q no capacitor, isso pode ser expresso como:

EC = 1/C x Q (Equação nº 3)

onde C é chamado de capacitânciae é medido em farads; a carga Q é medido em Coulombs.

No entanto, desde Eu (C) = dQ/dt, podemos escrever a equação acima como:

O que é um capacitor
O que é um capacitor

O que é um capacitor
O que é um capacitor

O valor da corrente Isto) pode ser resolvido em um determinado circuito resolvendo a equação produzida pela aplicação da seguinte lei física:

Entendendo a Lei de Kirchhoff (KVL)

Gustav Robert Kirchhoff (1824-1887) foi um físico alemão, suas leis populares podem ser entendidas como narradas abaixo:

A Lei das Correntes de Kirchhoff (KCL) afirma que:

Em qualquer ponto de um circuito, a soma das correntes de entrada é igual à soma da corrente de saída.

A Lei de Tensão de Kirchhoff (KVL) afirma que:

A soma algébrica de todas as quedas de tensão instantâneas em torno de qualquer malha fechada é zero, ou a tensão aplicada em uma malha fechada é igual à soma das quedas de tensão no restante da malha.

Exemplo 1: Referindo-se ao diagrama RL abaixo, e combinando a Equação #1,2 e a tensão de Kirchhoff, podemos derivar a seguinte expressão:

Entendendo a Lei de Kirchhoff (KVL)
Entendendo a Lei de Kirchhoff (KVL)

Entendendo a Lei de Kirchhoff (KVL)
Entendendo a Lei de Kirchhoff (KVL)

Equação: 4

Vamos considerar este caso A com uma força eletromotriz constante:

Entendendo a Lei de Kirchhoff (KVL)
Entendendo a Lei de Kirchhoff (KVL)

Entendendo a Lei de Kirchhoff (KVL)
Entendendo a Lei de Kirchhoff (KVL)

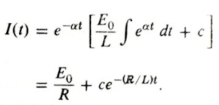
Na equação #4 descrita acima, se E = E0 = constante, podemos conduzir a seguinte equação:

Entendendo a Lei de Kirchhoff (KVL)
Entendendo a Lei de Kirchhoff (KVL)

Entendendo a Lei de Kirchhoff (KVL)
Entendendo a Lei de Kirchhoff (KVL)

Equação: 5

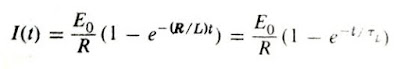
Aqui o último termo se aproxima de zero como t tende a prosseguir para o infinito, tal que Isto) tende ao valor limite E0/R. Após um atraso suficientemente longo, chegarei a uma praticamente constante, sem depender do valor de c, o que também implica que isso será independente de uma condição inicial que possa ser forçada por nós.

Considerando a condição inicial como I(0) = 0, temos:

Entendendo a Lei de Kirchhoff (KVL)
Entendendo a Lei de Kirchhoff (KVL)

Entendendo a Lei de Kirchhoff (KVL)
Entendendo a Lei de Kirchhoff (KVL)

Equação: 5*

Caso B (Força Eletromotriz Periódica):

Entendendo a Lei de Kirchhoff (KVL)
Entendendo a Lei de Kirchhoff (KVL)

Entendendo a Lei de Kirchhoff (KVL)
Entendendo a Lei de Kirchhoff (KVL)

Considerando E

Hashtags: #Lei #OhmLei #Kirchhoff #usando #equações #diferenciais #lineares #primeira #ordem
 

FONTE


Nota: Este conteúdo foi traduzido do Inglês para português (auto)
Pode conter erros de tradução

Olá, se tiver algum erro de tradução (AUTO), falta de link para download etc…
Veja na FONTE até ser revisado o conteúdo.
Status (Ok Até agora)


Se tiver algum erro coloque nos comentários

Mas se gostou compartilhe!!!

Relacionados