No post anterior aprendemos a polarização do BJT, neste artigo vamos aprender o que é a saturação do transistor ou do BJT e como determinar o valor rapidamente através de fórmulas e avaliações práticas.
O que é saturação de transistor
O termo saturação refere-se a qualquer sistema em que os níveis de especificação tenham atingido o valor máximo.
Pode-se dizer que um transistor está operando dentro de sua área de saturação, quando o parâmetro de corrente atinge o valor máximo especificado.
Podemos tomar o exemplo de uma esponja totalmente molhada, que pode estar em seu estado saturado quando não há espaço para reter mais líquido.
Ajustar a configuração pode resultar na alteração rápida do nível de saturação do transistor.
Dito isto, o nível máximo de saturação será sempre de acordo com a corrente máxima de coletor do dispositivo, conforme descrito na folha de dados do dispositivo.
Em configurações de transistores normalmente é garantido que o dispositivo não atinja seu ponto de saturação, pois nesta situação o coletor de base deixa de estar no modo de polarização reversa, causando distorções nos sinais de saída.
Podemos ver um ponto de operação dentro da região de saturação na figura 4.8a. Observe que é aquela região específica onde a junção das curvas características com a tensão coletor-emissor é menor que VCEsat ou no mesmo nível. Além disso, a corrente de coletor é comparativamente alta nas curvas características.


Como calcular o nível de saturação do transistor
Ao comparar e calcular a média das curvas características da Fig 4.8a e 4.8b, podemos possivelmente obter um método rápido de determinar o nível de saturação.
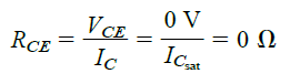
Na Fig 4.8b vemos que o nível de corrente é relativamente maior enquanto o nível de tensão está em 0V. Se aplicarmos a lei de Ohm aqui, podemos calcular a resistência entre os pinos coletor e emissor do BJT da seguinte maneira:




Uma implementação prática do projeto para a fórmula acima pode ser vista na figura 4.9 abaixo:




Isso implica que, sempre que for necessário avaliar rapidamente a corrente de coletor de saturação aproximada para um determinado BJT em um circuito, você pode simplesmente assumir um valor de curto-circuito equivalente no emissor do coletor do dispositivo e aplicá-lo na fórmula para obter o valor aproximado de curto-circuito. corrente de saturação do coletor. Simplificando, atribua VCE = 0V e então você pode calcular VCEsat facilmente.
Em circuitos com configuração de polarização fixa, conforme indicado na Fig 4.10, um curto-circuito pode ser aplicado, o que pode resultar em uma tensão em RC igual à tensão Vcc.




A corrente de saturação que se desenvolve na condição acima pode ser interpretada com a seguinte expressão:




Resolvendo um exemplo prático para encontrar a corrente de saturação de um BJT:




Se compararmos o resultado acima com o resultado que adquirimos no final deste post, descobrimos que o resultado que euCQ = 2,35mA é muito menor do que os 5,45mA acima, o que sugere que normalmente os BJTs nunca são operados no nível de saturação em circuitos, mas em valores muito mais baixos.
Hashtags: #saturação #transistor
FONTE
Nota: Este conteúdo foi traduzido do Inglês para português (auto)
Pode conter erros de tradução
Olá, se tiver algum erro de tradução (AUTO), falta de link para download etc…
Veja na FONTE até ser revisado o conteúdo.
Status (Ok Até agora)
Se tiver algum erro coloque nos comentários

